Gümrah oyanmanın riyazi düsturu kəşf edildi - FOTO

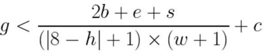
Gümrah oyanmanın riyazi düsturu kəşf edildi - FOTOBritaniyalı riyaziyyatçı Anne-Mari İmafidon insanların yaxşı əhval-ruhiyyə ilə oyanmasına kömək etməli olan düstur təklif edib.

Riysazi düstur gümrah oyanmağa təsir edən bir neçə amili nəzərə alır.
Bunlara yuxu müddəti, oyanma vaxt, səhər yeməyinə sərf olunan vaxt və meditasiya kimi gündəlik vərdişlərə ayrılan zaman daxildir.

Düstur belədir:
Gümrah oyanmanın riyazi düsturu kəşf edildi - FOTOs - duşda sərf olunan dəqiqələr;

e – idman məşqinə sərf olunan dəqiqələr;

b - səhər yeməyinə sərf olunan dəqiqələr;

h - yatmağa sərf olunan saatlar;

w - çarpayıdan qalxdığınız vaxtla səhər saat 7:12 arasındakı fərq (saatlarla);

c – digər səhər vərdişlərinə sərf olunan dəqiqələr;

g = 37

Yuxarıda göstərilənlərin hamısı birlikdə ən azı 37 əmsal verməlidir.

Qeyd edək ki, riyaziyyatçı düsturu hazırlayarkən ilkin tədqiqatlara əsaslanıb.


Sonxeber.az
Telegramda izləyin
Sosial   Baxılıb: 1193   Tarix: 01 avqust 2022  

Şikayətiniz varsa Whatsapp: 077 7125666

Facebookda Paylaş


Oxşar xəbərlər

.

"Xarı Bülbül" restoranında ofsiantlar arasında dava - 6 ay əvvəl meyit tapılmışdı

Bakı şəhəri, Nizami rayonunda yerləşən "Xarı Bülbül" restoranının zirzəmisində ofisantlar arasında baş verən dava ilə bağlı məhkəmə qərar verib. Qaynarinfo-nun məlumatına görə, 2006-cı il təvəllüdlü Kamran Məmmədovun (soyad şərti) Cinayət Məcəlləsinin 128-ci maddəsi ilə təqsirləndirilməsin

5 may
.

Xəzər dənizində zəlzələ oldu

Xəzər dənizində zəlzələ qeydə alınıb. xəbər verir ki, bu barədə AMEA nəzdində Respublika Seysmoloji Xidmət Mərkəzinin Zəlzələlərin tədqiqatı bürosu məlumat yayıb. Bildirilib ki, yerli vaxtla 08:45-də baş verən, 3.7 maqnitudalı yeraltı təkanların episentri 19 km dərinlikdə olub

5 may
.

"Gold Residence"in rəhbəri qanunsuz olaraq sahibkarların obyektini sökdürübmüş - Hökm oxundu

"Gold Residence" Məhdud Məsuliyyətli Cəmiyyətinin (MMC) icraçı direktoru Cəmil Qasımov yarım milyon manatdan çox vəsaiti mənimsəməkdə ittiham edilir. Qaynarinfo-nun məlumatına görə, Qazax rayonunun Ağköynək kəndində qeydiyyatda olan 1984-cü il təvəllüdlü Cəmil Qasımov barəsində Cinayət Məcəlləsini

5 may
.

Sabahdan bəzi rayonlarda hava yağıntılı olacaq, külək güclənəcək - XƏBƏRDARLIQ

Azərbaycanın bəzi bölgələrində mayın 5-6-da gözlənilən küləkli hava şəraiti ilə bağlı sarı xəbərdarlıq verilib. Bu barədə -a Milli Hidrometeorologiya Xidmətindən məlumat verilib. Naxçıvan MR, Neftçala, Salyan, Mingəçevir, Göyçay, Göygöl, Gəncə, Samux, Naftalan, Goranboy, Daşkəsən, Gədəbəy, Balakən, Zaqatala

4 may
.

Son üç ildə İKİLİ SOYAD götürən qadınların sayı açıqlandı

Azərbaycanda son 3 ildə nikaha girdiyinə görə ərinin də soyadını götürərək ikili soyad daşıyan qadınların sayı açıqlanıb. "Yeni Sabah"a istinadla bildirir ki, bu barədə Ədliyyə Nazirliyindən məlumat verilib. Qeyd edilib ki, 2024-2026-cı illərdə həm kişilərin, həm də qadınların soyad seçim

5 may
.

"Space"in yeni rəhbəri kimdir? - Dosye

Xəbər verdiyimiz kimi, "Space" televiziyasının baş direktor vəzifəsinə Ayaz Mustafayev təyin edilib. "Qafqazinfo" xəbər verir ki, Ayaz Mustafayev əmək fəaliyyətinə 2009-cu ildə Xarici İşlər Nazirliyində (XİN) başlayıb. O, Azərbaycanın Böyük Britaniyadakı səfirliyində müxtəlif vəzifələrdə

4 may
.

ll kurs tələbəsi futbol oynayarkən öldü

Mingəçevirdə 20 yaşlı oğlan futbol oynayarkən vəfat edib. "Qafqazinfo"nun məlumatına görə, 2006-cı il təvəllüdlü Həsən Məhəmməd Abdullah oğlu oyun zamanı epilepsiya tutması keçirib. İlkin məlumata görə, onun dili qatlanıb və bu səbəbdən həyatını xilas etmək mümkün olmayıb. Bildirilir ki, Sumqayı

5 may
.

Bu rayonda bəzi ərazi vahidlərinin adı dəyişdiriləcək

Quba rayonunun bəzi ərazi vahidlərinin adları dəyişdiriləcək. Trend-in məlumatına görə, bununla bağlı qanun layihəsi artıq Milli Məclisə daxil olub. Belə ki, "Quba rayonunun bəzi ərazi vahidlərinin adlarının dəyişdirilməsi haqqında" qanun layihəsi Milli Məclisinin Regional məsələlər komitəsini

4 may
.

Futbol oynayarkən ölən tələbənin - Fotosu

Xəbər verdiyimiz kimi, Mingəçevirdə 20 yaşlı oğlan futbol oynayarkən vəfat edib. "Qafqazinfo"nun məlumatına görə, stadionda ölən 2006-cı il təvəllüdlü Həsən Məhəmməd Abdullah oğlunun fotosu yayılıb. Qeyd edək ki, ilkin məlumata görə, onun dili qatlanıb və bu səbəbdən həyatını xilas etmək mümkü

5 may